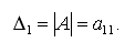
Определителем матрицы первого порядка, или определителем первого порядка, называется элемент а11:
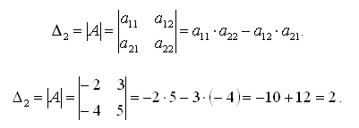
Определителем матрицы второго порядка, или определителем второго порядка, называется число, которое вычисляется по формуле:
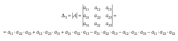
Определителем матрицы третьего порядка, или определителем третьего порядка, называется число, которое вычисляется по формуле:
Это число представляет алгебраическую сумму, состоящую из шести слагаемых. В каждое слагаемое входит ровно по одному элементу из каждой строки и каждого столбца матрицы. Каждое слагаемое состоит из произведения трех сомножителей.
Знаки, с которыми члены определителя матрицы входят в формулу нахождения определителя матрицы третьего порядка можно определить, пользуясь приведенной схемой, которая называется правилом треугольников или правилом Сарруса. Первые три слагаемые берутся со знаком плюс и определяются из левого рисунка, а последующие три слагаемые берутся со знаком минус и определяются из правого рисунка.
Разлагаем определитель по элементам первой строки.
Введем обозначения элементов ( a i j ) нашего определителя A . Первый индекс ( i ), всегда обозначает номер строки, где располагается элемент. Второй индекс ( j ) - номер столбца, где располагается элемент.
a11
a12
a13
det A =
a21
a22
a23
a31
a32
a33
Формула разложения определителя A по строке 1, выглядит следующим образом :
det A = ( -1 ) 1+1 * a11 * M11 + ( -1 ) 1+2 * a12 * M12 + ( -1 ) 1+3 * a13 * M13 ,
Разлагаем определитель по элементам первой строки.
Введем обозначения элементов ( a i j ) нашего определителя A . Первый индекс ( i ), всегда обозначает номер строки, где располагается элемент. Второй индекс ( j ) - номер столбца, где располагается элемент.
Формула разложения определителя A по строке 1, выглядит следующим образом :
det A = ( -1 ) 1+1 * a11 * M11 + ( -1 ) 1+2 * a12 * M12 + ( -1 ) 1+3 * a13 * M13 ,
Упражнение
Полезные ресурсы:
Образовательные онлайн-сервисы http://www.webmath.ru/library/1_3.php
Сайт кафедры высшей математики ПГАТИ http://vm.psati.ru/online-math-sem-1/page-1-1-03-01.html
Автоматический подсчет определителя матрицы http://www.math-pr.com/matr_det_1.php
Пример №1. Вычисление определителя матрицы третьего порядка.
Пример №1 , но более подробно
Пример №2. Вычисление определителя матрицы четвертого порядка.
Пример №2 , но более подробно
Пример №3. Вычисление определителя матрицы пятого порядка.
Пример №3 , но более подробно